في الآونة الأخيرة ، أجرى فريق بحث من مستشفى غرب الصين في جامعة سيتشوان تحليلًا متعمقًا لبيانات المسح الوطني لفحص الصحة والتغذية (NHANES) من Ones إلى ONY ، بمشاركة المشاركين. أظهرت النتائج أن الكاروتينات لها تأثير كبير في إبطاء تسارع الشيخوخة الظاهرية ، مع كون بيتا كاروتين و بيتا كريبتوكسانثين بارزين بشكل خاص. هذا يشير إلى أن هذه الأصباغ الطبيعية لديها إمكانات كبيرة في مجال مكافحة الشيخوخة.

الكاروتينات هي أصباغ طبيعية قابلة للذوبان في الدهون توجد على نطاق واسع في الطحلب والفطريات والبكتيريا والنباتات. تم تحديد أكثر من الكاروتينات الطبيعية. بناءً على تركيبها الكيميائي ، يمكن تقسيم الكاروتينات إلى فئتين: فئة تحتوي فقط على عناصر الكربون والهيدروجين بدون أكسجين (مثل ألفا كاروتين وبيتا كاروتين وليكوبين) ، وأخرى تتكون من مشتقاتها المؤكسدة التي تحتوي على مجموعات وظيفية للأكسجين مثل الهيدروكسيل ، كيتو ، الكربوكسيل ، والميثوكسي (مثل لوتين وزياكسانثين). من بين الكاروتينات المتداولة في دم الإنسان ، ستة أنواع-ألفا كاروتين ، بيتا كاروتين ، بيتا كريبتوكسانثين ، ليكوبين ، لوتين ، وزياكسانثين-تمثل أكثر من!
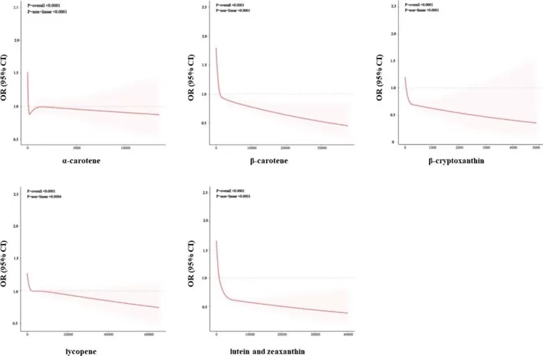
دراسة مبنية على بيانات المسح الوطني لفحص الصحة والتغذية (NHANES) استكشفت العلاقة بين تناول الكاروتينات الغذائية وعملية الشيخوخة البيولوجية. حصل البحث على مستويات تناول الكاروتينات من خلال تحليل البيانات الغذائية وتقييم العمر البيولوجي باستخدام طرق الفينوج وكليميرا-دوبال (KDM).
أظهرت النتائج أن مستويات الكاروتينات الغذائية المرتفعة كانت مرتبطة بشكل كبير بمعدل أبطأ من الشيخوخة البيولوجية ، مما يشير إلى أن الكاروتينات لها تأثيرات محتملة مضادة للشيخوخة. كشف المزيد من التحليل عن وجود علاقة غير خطية كبيرة بين مستويات الكاروتينات وتسارع العمر البيولوجي ، مما يشير إلى أن تأثيرها الوقائي يتم تعزيزه عند مستويات تناول أعلى.

تشير نتائج البحث إلى أن بيتا كاروتين و بيتا كريبتوكسانثين لها تأثيرات كبيرة بشكل خاص في مكافحة الشيخوخة. بالإضافة إلى ذلك ، تختلف تأثيرات الكاروتينات المضادة للشيخوخة بين مختلف المجموعات السكانية. على وجه التحديد ، يستفيد الأفراد الأصغر سنًا (أقل من 60 عامًا) والنساء والمرضى الذين يعانون من ارتفاع ضغط الدم ومرضى السكري بشكل أكبر من المستويات العالية من تناول الكاروتينويد ، مما يساعد على إبطاء عملية الشيخوخة البيولوجية.

الشيخوخة هي عملية بيولوجية معقدة تتميز بانخفاض تدريجي في الوظائف الفسيولوجية وزيادة التعرض للأمراض. الإجهاد التأكسدي والالتهاب هما من العوامل الرئيسية التي تدفع عملية الشيخوخة. الكاروتينات ، بسبب هيكلها الجزيئي الذي يحتوي على العديد من الروابط المزدوجة المتزامنة ، تمتلك قدرات مضادة للأكسدة قوية. يمكنهم تحييد الجذور الحرة بشكل فعال وتقليل الالتهابات ، وبالتالي القضاء على أنواع الأكسجين التفاعلية (ROS) مثل جذور البيروكسيد والأكسجين في الجسم ، ولعب دور حاسم في تعزيز الشيخوخة الصحية.
تعتمد إمكانية مكافحة الشيخوخة للكاروتينات في المقام الأول على قدرتها على تعزيز نقل العامل النووي من عامل اريثرويد 2 (Nrf2) إلى cنواة نواة بمجرد نقل Nrf2 إلى النواة ، فإنه يبدأ نسخ الإنزيمات المضادة للأكسدة ومزيلة للسموم. بالإضافة إلى ذلك ، مع انقسام الخلايا ، تقصر التيلومير تدريجيًا حتى يحدث موت الخلايا ، ويسرع الروس والالتهاب من تقصير التيلومير. تم الإبلاغ عن أن المدخول الغذائي العالي من بيتا كاروتين يرتبط بطول التيلومير الطويل.
الكاروتينات ، بسبب قوة التلوين القوية وألوانها المستقرة ، تستخدم على نطاق واسع في مختلف المجالات ، مثل الملونات للمشروبات والحلويات وغيرها من الأطعمة ، بالإضافة إلى الإضافات الغذائية في أطعمة الأطفال. الكاروتينات لا تمتلك نشاط فيتامين (أ) فحسب ، بل تسهم أيضًا في صحة القلب والأوعية الدموية والجلد. أنها تلعب دورا هاما في التنظيم الفسيولوجي والوقاية من الأمراض في جسم الإنسان.
تساعد الكاروتينات على حماية صحة القلب والأوعية الدموية عن طريق تثبيط أكسدة البروتين الدهني منخفض الكثافة (LDL) ، ومنع تطور تصلب الشرايين ، وحماية خلايا الأوعية الدموية من التلف التأكسدي ، وبالتالي الحفاظ على وظيفة الأوعية الدموية. من بين هؤلاء ، الليكوبين واللوتين لها فوائد كبيرة في هذا الصدد. وجد تحليل ميتا أن الأفراد الذين يتناولهم النظام الغذائي من الليكوبين لديهم خطر أقل للإصابة بأمراض القلب والأوعية الدموية. تأثير اللوتين هو 15 مرة من الليكوبين و 10 مرات من بيتا كاروتين ، يمنع بشكل فعال بيروكسيد الدهون.
يحدث التصوير الضوئي في المقام الأول بسبب العوامل البيئية ويتجلى في انخفاض مرونة الجلد وتصبغ غير طبيعي وجفاف وحكة. الأشعة فوق البنفسجية (الأشعة فوق البنفسجية) هي المحفز الرئيسي ، وتسريع شيخوخة الجلد من خلال تعزيز توليد أنواع الأكسجين التفاعلية (ROS) ، التي تعطل وظائف حماية وإصلاح البشرة. وقد أظهرت الدراسات أن المكمل مع الكاروتينات يمكن أن يمنع بشكل فعال تشكيل ROS الناجم عن الأشعة فوق البنفسجية. على سبيل المثال ، يعزز أستازانتين صحة الجلد ويمارس تأثيرات مضادة للتصوير عن طريق تثبيط الضرر التأكسدي. يمكنه قمع تخليق الميلانين ، والحد من التصبغ ، وزيادة رطوبة الجلد ، وتحسين الجلد الجاف. تشير الأبحاث إلى أن تناول أستازانتين عن طريق الفم يمكن أن يقلل من بقع العمر والتجاعيد ، ويحسن ترطيب البشرة ومرونتها. بالإضافة إلى ذلك ، يمكن أن يقلل أستازانتين من تلف الجلد الناتج عن الأشعة فوق البنفسجية ، ويقلل من فقدان الرطوبة والطفح الجلدي ، ويحمي صحة الجلد.
يعتبر تناول الطعام من الكاروتينات استراتيجية أساسية للوقاية من مرض الكبد الدهني غير الكحولي (NAFLD). الليكوبين يسلك خصائص كبدية ضد أمراض الكبد المختلفة ، بما في ذلك أمراض الكبد الدهنية الكحولية وغير الكحولية. آثار الليكوبين الواقية من الكبد تنبع في المقام الأول من قدراتها المضادة للأكسدة القوية ، والتي تمنع بشكل فعال تلف الخلايا الناجم عن أنواع الأكسجين التفاعلية (ROS). بالإضافة إلى ذلك ، أشارت الدراسات إلى أن بيتا كاروتين ، واحدة من الكاروتينات الأكثر وفرة في الكبد ، يوضح آثار كبيرة واقية من الكبد. زيادة المدخول الغذائي من بيتا كاروتين يمكن أن يقلل بشكل كبير من خطر تشحم الكبد وتلف خلايا الكبد الراديكالية الحرة.
الضمور البقعي المرتبط بالعمر (AMD) هو مرض شائع لإضعاف الرؤية ناجم في المقام الأول عن التلف التنكسي في المستقبِلات الضوئية لدى الأفراد البالغين. أصبح السبب الرئيسي للعمى لدى الأشخاص الذين تزيد أعمارهم عن 65 عامًا. من المتوقع أن يزيد الانتشار العالمي لـ AMD إلى ما يقرب من مليون شخص [6].
تشمل المظاهر المبكرة لل AMD انخفاض الرؤية وتقليل حساسية التباين وتقليل حدة البصر ، وتتميز بانخفاض تدريجي في الرؤية الوظيفية مع تقدم الحالة. الكاروتينات تلعب دورا حاسما في الحفاظ على صحة ووظيفة المنطقة البقعية. من بين الكاروتينات المختلفة ، تبين أن لوتين وزياكسانثين يعبران حاجز شبكية الدم ويتراكمان في شبكية العين لتشكيل صبغة بقعية ، وهي عملية ضرورية لحماية البقعة.
بالإضافة إلى ذلك ، يعتقد أن أستازانتين ، وهو عضو في عائلة اللوتين الموجودة في المقام الأول في الكائنات البحرية ، له آثار وقائية محتملة ضد تلف الشبكية الناجم عن الضوء والخلل الوظيفي. بسبب تركيبه الجزيئي الفريد ، يمكن أن يجتاز أستازانتين غشاء الطبقة الثنائية للخلية ، ويمسح بفعالية أنواع الأكسجين التفاعلية في الطبقات الداخلية والخارجية للخلايا ، مما يوفر آلية دفاع ضد الإجهاد التأكسدي لشبكية العين.
مرجع:
[1]
[2]
[3]
[4]
[5]
[6] https://pأو
مصدر الصورة: pixabay, روابط: من الرابط: من